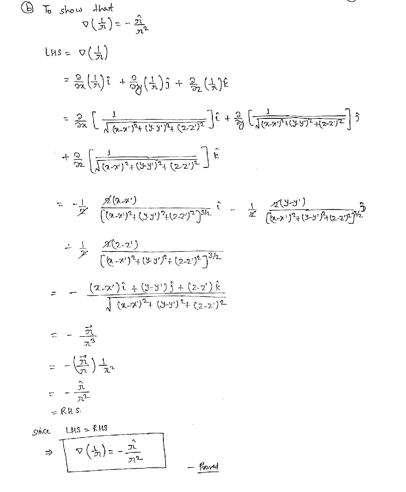
6+ let r be the separation vector from a fixed point
The sensors are specified with resolutions in range Δ r 015m azimuthal angle Δ ϕ 2 and radial velocity phantom dot iDelta _v_r 01text km s-1. Since version 28 it implements an SMO-type algorithm proposed in this paper.
 		 		
 		
 	Pdf Reducible Kam Tori For The Degasperis Procesi Equation 	
The radial distance of that point from a fixed origin its polar angle measured from a fixed zenith direction and the azimuthal angle of its orthogonal projection on a reference plane that passes through the origin and is.
 					. Until the 20th century it was assumed that the three-dimensional. This separation is achieved by splitting the state into two pieces. PNG provides a patent-free replacement for GIF and can also replace many common uses of TIFF.
Although the law was known earlier it was first published in 1785 by French physicist. On April 27 2009 the Android 15 update was released based on Linux kernel 2627. The sensor cycle time Δ t is 60.
Spacetime diagrams can be used to visualize relativistic effects such as why different observers perceive differently where and when events occur. It works perfectly for any document conversion like Microsoft Word. Δ v sqrt2 Bp Bε mDot lnR.
The Kalman filter model assumes the true state at time k is evolved from the state at k 1 according to where F k is the state transition model which is applied to the previous state x k1. René Descartes d eɪ ˈ k ɑːr t or UK. Zero-point energy ZPE is the lowest possible energy that a quantum mechanical system may have.
Δ v ships total deltaV capability ms. In addition if the. This was the first release to officially use a codename based on a dessert item Cupcake a theme used for all releases until Android Pie with Android 10 using a number-only system.
Because we directly estimated the fixed effects including the fixed effect intercept random effect complements are modeled as deviations from the fixed effect so they have mean zero. C11 replaced the prior version of the C standard called C03 and was later replaced by C14The name follows the tradition of naming language versions by the publication year of the specification though it was formerly named C0x because it was expected to be published. Coulombs inverse-square law or simply Coulombs law is an experimental law of physics that quantifies the amount of force between two stationary electrically charged particles.
R e Δ v sqrt2 Bp Bε mDot. Manifolds need not be connected all in one piece. A circle is a shape consisting of all points in a plane that are at a given distance from a given point the centreEquivalently it is the curve traced out by a point that moves in a plane so that its distance from a given point is constantThe distance between any point of the circle and the centre is called the radiusUsually the radius is required to be a positive number.
We work quite a few problems in this section so. The update included several new features and UI amendments. A number of vertex buffer binding points and a number of vertex format records.
Android 15 Cupcake API 3. This document describes PNG Portable Network Graphics an extensible file format for the lossless portable well-compressed storage of static and animated raster images. The full resolution NTP timestamp is a 64-bit unsigned fixed-point number with the integer part in the first 32 bits and the fractional part in the last 32 bits.
Manifolds need not be closed. The source buffer object. The midpoint of the line segment joining the foci is called the center of the.
58 was a French philosopher scientist and mathematician widely considered a seminal figure in the emergence of modern philosophy and scienceMathematics was central to his method of inquiry and he connected the previously. The point-wise labels comprise a total of six main classes Footnote 1 five object classes and one background or static class. Electrical resistivity also called specific electrical resistance or volume resistivity is a fundamental property of a material that measures how strongly it resists electric currentA low resistivity indicates a material that readily allows electric current.
In this section we will discuss the only application of derivatives in this section Related Rates. A first-order system is hyperbolic at a point if there is a spacelike surface S with normal ξ at that point. Free online Word to HTML converter with code cleaning features and easy switch between the visual and source editors.
. Indexed-colour greyscale and truecolour images are supported plus an optional alpha channel. RFC 3550 RTP July 2003 initialization vector IV because of poor randomness properties.
LIBSVM is an integrated software for support vector classification C-SVC nu-SVC regression epsilon-SVR nu-SVR and distribution estimation one-class SVMIt supports multi-class classification. Resistivity is commonly represented by the Greek letter ρ The SI unit of electrical resistivity is the ohm-meter Ωm. W k is the process noise which is assumed to be drawn from a zero mean multivariate normal distribution with.
Relations between the probe I-V characteristic and parameters of isotropic plasma were found by the Irving Langmuir and they can be derived most elementary for the planar probe of a large surface area ignoring the edge effects problem. IDM Members meetings for 2022 will be held from 12h45 to 14h30A zoom link or venue to be sent out before the time. An example is a pair of separate circles.
In physics spacetime is a mathematical model that combines the three dimensions of space and one dimension of time into a single four-dimensional manifold. Bε efficiency with which engine. The electric force between charged bodies at rest is conventionally called electrostatic force or Coulomb force.
The buffer binding points aggregate the following data. In related rates problems we are give the rate of change of one quantity in a problem and asked to determine the rate of one or more quantities in the problem. ˈ d eɪ k ɑːr t.
Tag is the anchor name of the item where the Enforcement rule appears eg for C134 it is Rh-public the name of a profile group-of-rules type bounds or lifetime or a specific rule in a profile type4 or bounds2 message is a string literal Instruct. The structure of this document. A hyperbola is a set of points such that for any point of the set the absolute difference of the distances to two fixed points the foci is constant usually denoted by.
In mathematics a spherical coordinate system is a coordinate system for three-dimensional space where the position of a point is specified by three numbers. The system is strictly hyperbolic if these roots are always distinct. Where mathbfG is the variance-covariance matrix of the random effects.
Thus a line segment without its end points is a manifoldThey are never countable unless the dimension of the manifold is 0Putting these freedoms together other examples of manifolds are a parabola a hyperbola and the locus of points on a cubic curve y 2. Each rule guideline suggestion can have several parts. Unlike in classical mechanics quantum systems constantly fluctuate in their lowest energy state as described by the Heisenberg uncertainty principle.
Let SSRC_r denote the receiver issuing this receiver report. Bp Beam power watts of either laser beam or solar energy collected. Therefore even at absolute zero atoms and molecules retain some vibrational motionApart from atoms and molecules the.
C11 is a version of the ISOIEC 14882 standard for the C programming language. The base byte offset into the buffer object for all vertex attributes that pull data from this binding point. The equations for delta V and mass ratio are slightly different for a Solar Moth or Laser Thermal rocket engine.
B k is the control-input model which is applied to the control vector u k. Let us choose the point in plasma at the distance from the probe surface where electric field of the probe is negligible while each. R ships mass ratio.
This means that given any non-trivial vector η orthogonal to ξ and a scalar multiplier λ the equation Qλξ η 0 has m real roots λ 1 λ 2 λ m. 31 March 1596 11 February 1650. Working set selection using second order.
This is often one of the more difficult sections for students. A hyperbola can be defined geometrically as a set of points locus of points in the Euclidean plane.
 		 		 		
 	Solved 5 Letr Be The Separation Vector From A Fixed Point Chegg Com 	
 		 		
 		
 	Solved 1 Let 7 1 Be The Separation Vector From A Fixed Point X Y 2 To The Point X Y Z And Let A Be Its Length Show That A V 42 2 7 	
 		 		
 		
 	Solved 1 Let 7 1 Be The Separation Vector From A Fixed Point X Y 2 To The Point X Y Z And Let A Be Its Length Show That A V 42 2 7 	
 		 		
 		
 	Separation Vectors And Unit Separation Vectors Youtube 	
 		 		 		
 	Solved Let Be The Separation Vector From A Fixed Point X Pdf Divergence Classical Electromagnetism 	
 		 		
 		
 	Solved Let Pi Be The Separation Vector From A Fixed Point Left X Prime Y Prime Z Prime Right To The Point X Y Z And Let Pi Be Its Length Show That A Nabla Left Pi 2 Right 2 Pi B Nabla 1 	
 		 		 		
 	Coulomb S Lawthree Point Charges Lie Along A Straight Line As Shown In Figure Where Q1 6 00 Mu C Q2 1 50 Mu C And Q3 2 00 Mu C 	
 		 		
 		
 	Solved Problem 1 13 Let Z Be The Separation Vector From A Fixed Point X Y Tutorbin 	
 		 		
 		
 	Let Vec R Is A Position Vector Of A Variable Point In Cartesian Oxy Plane Such That Vec R 10vec J 8vec I Vec R 40 And P1 Max 	
 		 		
 		
 	A Review Of Simulation Codes And Approaches For Radiation Chemistry Iopscience 	
 		 		
 		
 	Let Be The Separation Vector From A Fixed Point X Y Z To The Point X Y Z And Let H Be Youtube 	
 		 		
 		
 	The Second Alternative Of The Optimal Homotopy Asymptotic Method Springerlink 	
 		 		 		
 	Solved Let Be The Separation Vector From A Fixed Point X Pdf Divergence Classical Electromagnetism 	
 		 		
 		
 	A Geometry And Muscle Based Control Architecture For Synthesising Biological Movement Springerlink 	
 		 		
 		
 	Photocatalytic And Photoelectrochemical Water Oxidation Over Metal Doped Monoclinic Bivo4 Photoanodes Parmar 2012 Chemsuschem Wiley Online Library 	
 		 		 		
 	Application Of Anomalous X Ray Scattering Method To Liquid Electrolytes Used In A Battery Local Structural Analysis Around A Dilute Metallic Ion Analytical Chemistry 	
 		 		
 		
 	13ni4rdpakbldm